导读:2014考研已进入最后十天倒计时,相信大家对于考研数学重点考查的题型都已经很熟悉了。下面文都考研频道小编特别针对考研数学中各部分重点题型提供相应的预测例题,帮助广大考生在考前摸清题型,提前掌握考题解题思路,在考场更好地发挥出自己的水平,取得优异的成绩。

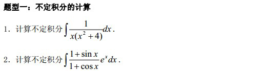
2014考研数学(积分学)题型预测:不定积分的计算

 

  2014年研究生入学考试将于1月4、5、6日在全国举行,届时 文都教育考研频道将在考后及时公布2014考研数学真题及考研数学答案,并邀请文都教育考研团队进行考后试题解析,请同学们密切关注 文都教育考研频道。(关注 @文都考研资讯 了解考研资讯)  

2014考研数学真题及考研数学答案汇总
红色 链接为2014考研数学试题及答案已公布】
数学 科目 真题 答案
数学一 数学一·真题 数学一·答案
数学二 数学二·真题 数学二·答案
数学三 数学三·真题 数学三·答案
>>>>点击进入:文都2014考研真题及答案汇总