无穷级数是高等数学的重要组成部分,是一种研究和表示函数的重要方法,是 考研数学中数学一和数学三的。其中将简单函数间接展开成幂级数是级数部分重要考点之一,希望大家好好掌握下面 文都考研数学老师帮大家把函数展开为幂级数的方法总结一下。
将函数展开成幂级数的方法主要有两种:直接展开法和间接展开法。
直接展开法指的是:利用泰勒级数的定义及泰勒级数收敛的充要条件,将函数在某个区间直接展开成指定点的泰勒级数的方法。
间接展开法指的是:通过一定运算将函数转化为其他函数,进而利用新函数的幂级数展开式将原来函数展开为幂级数的方法。所用运算主要是加法运算,数乘运算,(逐项)积分运算和(逐项)求导运算。
常见函数的麦克劳林级数展开式为:

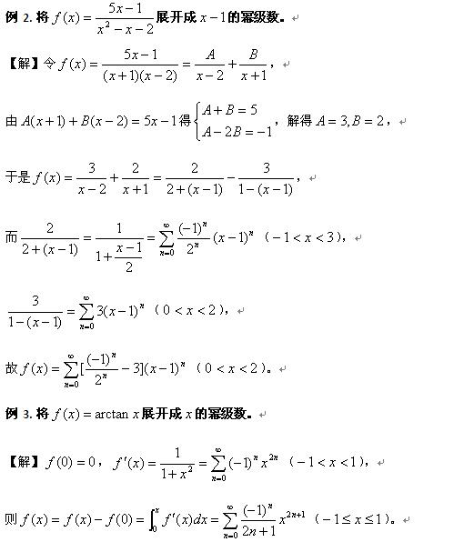
下面举例帮大家巩固以上知识点:


(转载请注明来源)
**** 热点推荐 ****
【 资讯】 2015考研鹰飞集训营/ 2015考研规划讲座视频汇总/ 2015考研日历·2014年5月份
【 英语】 2015考研英语·每天一句/ 15考研英语大纲词汇文档汇总/ 2015考研英语写作常用谚语汇总
【 政治】 2015考研政治时政热点·4月份汇总/ 2015考研政治·毛中特重要考点汇总
【 数学】 导数与微积分题型考点总结/ 数一、数二、数三的不同/ 2015考研数学基础复习系列专题
【 综合辅导】 2015考研专业院校全面解析专题/ 文都2014考研学员龙虎榜专题

文都考研微信