在 考研数学中,利用等价无穷小替换是求的一种重要方法。但是同学们在使用的过程中,经常会遇到一些疑问,也会犯一些错误。下面 文都考研数学教研老师对等价无穷小进行几点讨论,希望能帮助同学们正确使用等价无穷小替换。
一、等价无穷小乘除替换定理的讨论
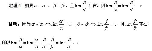
首先,我们一起看一下课本上的定价无穷小替换定理的证明及应用举例。

注:这个定理说明,所求是两个等价无穷小之比时,分子和分母可以用它们对应的等价无穷小替换。分子或分母为含有乘积形式的等价无穷小时,也可作相应的替换。
下面来看一道具体的例题:

对于乘除形式的无穷小替换,一般同学们都可以熟练使用。但对于加减形式的无穷小替换,同学们经常会出现一些错误的错法。下面举一道典型例题说明问题:

二、等价无穷小加减替换定理的讨论
例2说明,对于加减形式的无穷小都不能做替换吗?一些老师的讲解都是等价无穷小替换对乘除成立,对加减不成立,很多学生也是这样记忆的。实际上,等价无穷小在一定条件下对加减也是成立的,下面我们一起来对加减成立时的定理:

三、总结
对于分子和分母中的乘积因子,我们可以放心地进行等价无穷小替换,定理1可以直接保证这一点。于是,问题便集中到对于分子和分母章的加减法因子如何进行等价无穷小替换这一点上。在利用等价无穷小替换定理求时,需把分子或分母看做一个整体,用整个分子或分母的等价无穷小进行替换。若分子或分母是两个等价无穷小之差,就不能用各自的等价无穷小进行替换,例题2正说明了这一点;若分子或分母不是两个等价无穷小之差时,就可以用分子或分母各自的等价无穷小进行替换。
以上就是文都考研数学辅导老师对等价无穷小替换定理的几点讨论,希望广大考生能有效利用,熟练而准确地使用等价无穷小替换,改掉做题中容易犯的一些错误。
【版权声明】
本文版权属本网所有,任何媒体、网站或个人未经本网协议不得转载、链接、转贴或以其他方式复制发表。已经本站协议的媒体、网站,在下载使用时必须注明“稿件来源:文都教育”,违者本站将依法追究责任。

文都考研微信