求是 考研数学中的一个重要考点,每年必考,因此,各位考生应该熟练地掌握求的各种方法。求的方法很多,包括:利用定义、四则运算、两个重要准则、两个重要公式、变量代换、等价代换、恒等变形、洛必达法则、泰勒公式、导数定义、定积分定义、中值定理和无穷级数等。在这些方法中,等价代换是使用频率非常高的一种求方法,也非常重要,为了帮助各位熟练地掌握这个方法,下面文都网校老师对此做些归纳总结,供各位考生参考。
等价代换的基本思想:

另外,等价无穷小的概念也可以推广到等价无穷大的概念上。
使用等价代换时应注意的问题:

常用的一些等价代换:

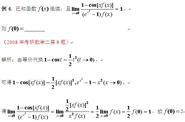
典型例题:




上面就是考研数学中利用等价代换方法计算的解题方法介绍,供考生们参考借鉴。在以后的时间里,文都网校的老师还会陆续向考生们介绍其它求的方法,希望各位考生留意查看。最后预祝各位学子在2015考研中取得佳绩。
【版权声明】
本文版权属本网所有,任何媒体、网站或个人未经本网协议不得转载、链接、转贴或以其他方式复制发表。已经本站协议的媒体、网站,在下载使用时必须注明“稿件来源:文都网校”,违者本站将依法追究责任。

文都考研微信