之前我们解析了 《2015考研数学:浅谈求函数的常用方法》。在此基础上,我们继续探讨求 数列的常用方法。对于数列,我们可以转化成函数求解,这里就不在赘述,主要探讨数列的常用方法。
1.利用子数列与数列的关系求
定理1:若数列
收敛,则任何子数列收敛,且子数列与原数列具有相同的;若任何子数列收敛且具有相同,原来数列收敛(实际应用时经常判定奇数列与偶数列的敛散性);若存在子数列发散,原数列发散;若存在两个子数列值不等,原数列发散。

2.利用单调有界数列必有
定理2:

3.利用夹逼定理求
定理3

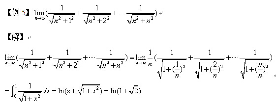
4.利用定积分求
定积分是求解数列和式和乘积形式的一种重要方法。

5.利用无穷级数判定收敛
若所求的是和式,转为为无穷级数的和函数求解,这里只讨论级数收敛的必要条件.
定理4:

【版权声明】
本文版权属本网所有,任何媒体、网站或个人未经本网协议不得转载、链接、转贴或以其他方式复制发表。已经本站协议的媒体、网站,在下载使用时必须注明“稿件来源:文都教育”,违者本站将依法追究责任。

文都考研微信