在二重积分的运算过程中,当先对x积分再对y积分时(或反之)不易或不能进行积分时,可以通过改变积分次序来使积分便于计算。这类题目在历年 考研数学试题中几乎每年都会涉及,因此掌握这种方法至关重要。

本题是2014年考研数学一真题,是典型的交换积分次序的题目。这类题目在历年考研试题中出现频率较高,通常以选择题或填空题的形式进行考查。这类题目如果掌握,在考试中无论题型怎样变化,都可以以不变应万变,从容应对。
这类题目出现一般有两种方式,一种情况像上例所示,单纯考查交换积分次序。另一种情况是当用所给形式无法计算结果时,二重积分应该使用直角坐标系计算,但将积分区域D表示成X型区域或Y型区域无法计算结果时,改变其次序往往可以使问题迎刃而解。
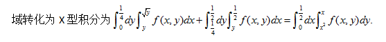
交换步骤:
1. 根据所给二次积分的上下限确定积分区域;
2. 画出积分区域的草图,并求出相关交点;按所要求的积分次序来表示积分区域;
3. 写出改变积分次序后的二次积分。(一般内层积分限可以是外层积分变量的函数,外层积分限应为常数。)


有关交换积分次序的例题在各类复习参考书中都会有所体现,多加练习,只要善于总结,相信会是考生在考试中较易得分的题型。推荐毛纲源老师编著的《考研数学常考题型解题方法技巧归纳》系列图书,本书在精选典型例题的基础上,系统总结知识点,是一本不可多得的复习参考用书。
| *** 热点推荐 *** | |
|
|
| *** 复习必看 *** | |
|
|
【版权声明】
本文版权属本网所有,任何媒体、网站或个人未经本网协议不得转载、链接、转贴或以其他方式复制发表。已经本站协议的媒体、网站,在下载使用时必须注明“稿件来源:文都教育”,违者本站将依法追究责任。

文都考研微信