定积分的计算有几个常用的公式和技巧,同学们如果能够好好掌握,在 2016考研数学考试中将会节省很多时间。
一、对称性
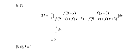
从定积分的对称性出发,将定积分的对称性运用到一些例子中,使其运算变得简便。再作进一步推广,得到几个更一般性的结果,将这些结果应用于某些定积分的计算将十分方便。
定积分的对称性的性质:



用这种方法化简某些定积分运算时要注意下面几点:
(1) 不要求原定积分的积分区间一定关于原点对称。


定被积函数的周期是多少,一般情况下者会偏向于带值的被积函数,这时候就用到我们高中所学的三角函数周期确定的方法,对于不知道的同学建议专门用一个或两个小时去复习一下高中这一部分的知识。
以上是文都考研数学老师的一点总结,希望对2016考研同学们有所帮助。
| *** 热点推荐 *** | |
|
|
| *** 大纲解析 *** | |
|
|
| *** 复习必看 *** | |
|
|
【版权声明】
本文版权属本网所有,任何媒体、网站或个人未经本网协议不得转载、链接、转贴或以其他方式复制发表。已经本站协议的媒体、网站,在下载使用时必须注明“稿件来源:文都教育”,违者本站将依法追究责任。

文都考研微信