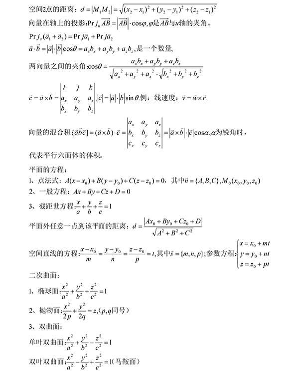
考研数学基础公法秘笈之空间解析几何和向量代数。各位同学2018年考研初试已经结束了,一些没有赶上18年考研的学子们将要开始2019年考研数学复习了,小编为各位准备了一些关于考研数学的基础公式,希望可以帮助各位成功通过19年考研,以下是本次内容。

文都考研会及时为考生们提供考研资讯、报考指南、考研政治复习资料、考研数学复习资料、考研英语复习资料等信息,来帮助征战2019考研的考生。关注文都考研网【kaoyan.wendu.com】,了解更多有关考研的相关内容。2019考研路,有你有文都。
考研数学基础公法秘笈之空间解析几何和向量代数。各位同学2018年考研初试已经结束了,一些没有赶上18年考研的学子们将要开始2019年考研数学复习了,小编为各位准备了一些关于考研数学的基础公式,希望可以帮助各位成功通过19年考研,以下是本次内容。

文都考研会及时为考生们提供考研资讯、报考指南、考研政治复习资料、考研数学复习资料、考研英语复习资料等信息,来帮助征战2019考研的考生。关注文都考研网【kaoyan.wendu.com】,了解更多有关考研的相关内容。2019考研路,有你有文都。
版权声明
本文版权属本网所有,任何媒体、网站或个人未经本网协议授权不得转载、链接、转贴或以其他方式复制发表。已经本站协议授权的媒体、网站,在下载使用时必须注明“稿件来源:文都教育”,违者本站将依法追究责任