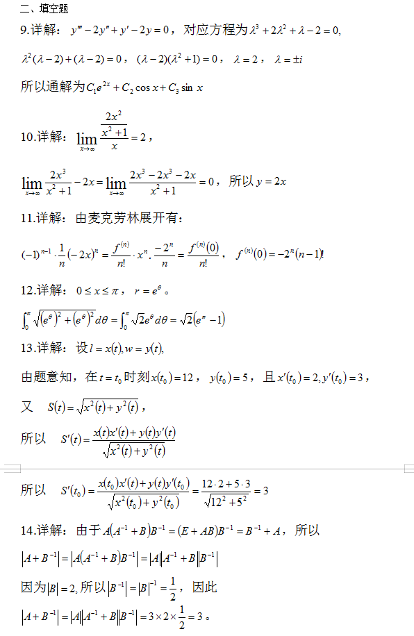
最后冲刺阶段,对于数学备考来说关于真题的复习依然十分重要,小编建议在考试前这段时间我们可以将近年来的真题再过一遍,以下是2010考研数学三真题解析填空题部分的内容,下面我们就来一起看一看。

在现阶段,对于真题我们一定要做到贪质不贪多,争取每一套题都能反思总结,找到自己在做题中的问题,错误的原因,进行梳理总结,这样才能在考试前重新整理思路,真正的解决自己所存在的问题。
【小编推荐】
考研数学三真题及答案解析汇总
最后冲刺阶段,对于数学备考来说关于真题的复习依然十分重要,小编建议在考试前这段时间我们可以将近年来的真题再过一遍,以下是2010考研数学三真题解析填空题部分的内容,下面我们就来一起看一看。

在现阶段,对于真题我们一定要做到贪质不贪多,争取每一套题都能反思总结,找到自己在做题中的问题,错误的原因,进行梳理总结,这样才能在考试前重新整理思路,真正的解决自己所存在的问题。
【小编推荐】
考研数学三真题及答案解析汇总
版权声明
本文版权属本网所有,任何媒体、网站或个人未经本网协议授权不得转载、链接、转贴或以其他方式复制发表。已经本站协议授权的媒体、网站,在下载使用时必须注明“稿件来源:文都教育”,违者本站将依法追究责任