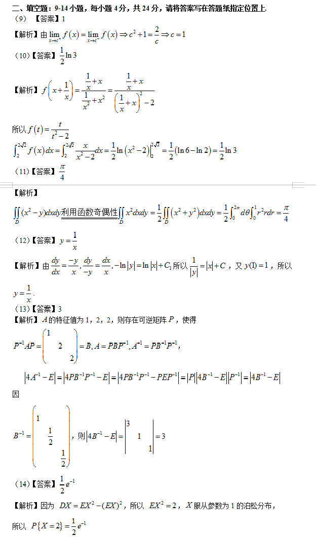
最后冲刺阶段为了帮助大家更加方便的找到考研数学三考试真题的内容,小编将近几年真题做了相关整理,以下是2008考研数学三真题选择题部分答案解析的内容,下面就跟文都考研小编一起来看一看吧。
另外,近几年真题的完整版内容我们会及时更新在相关汇总页,需要的同学可以点击文章下方汇总页链接进行查看。
最后冲刺阶段,大家除了保持有节奏的复习外,也一定要注意调整好自己的生活节奏,保持一个良好的身心状态,积极迎接接下来的考试。
最后冲刺阶段为了帮助大家更加方便的找到考研数学三考试真题的内容,小编将近几年真题做了相关整理,以下是2008考研数学三真题选择题部分答案解析的内容,下面就跟文都考研小编一起来看一看吧。
另外,近几年真题的完整版内容我们会及时更新在相关汇总页,需要的同学可以点击文章下方汇总页链接进行查看。
最后冲刺阶段,大家除了保持有节奏的复习外,也一定要注意调整好自己的生活节奏,保持一个良好的身心状态,积极迎接接下来的考试。
版权声明
本文版权属本网所有,任何媒体、网站或个人未经本网协议授权不得转载、链接、转贴或以其他方式复制发表。已经本站协议授权的媒体、网站,在下载使用时必须注明“稿件来源:文都教育”,违者本站将依法追究责任