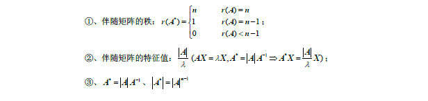
考研进入倒计时,2019考研数学复习也进入了备考关键期,在最后阶段对于各部分知识点的重新整理与总结十分重要,以下是文都考研小编为大家整理的关关于A矩阵秩的描述的内容分析。

以上就是今天为大家分享的相关知识点的内容,考研初试在即,文都考研预祝广大学子能够在考试中取得优异的成绩。
【知识点汇总推荐】
2019考研数学线性代数部分复习知识点汇总
2019考研数学高数部分常用知识点汇总
2019考研数学概率部分常用知识点汇总
考研进入倒计时,2019考研数学复习也进入了备考关键期,在最后阶段对于各部分知识点的重新整理与总结十分重要,以下是文都考研小编为大家整理的关关于A矩阵秩的描述的内容分析。

以上就是今天为大家分享的相关知识点的内容,考研初试在即,文都考研预祝广大学子能够在考试中取得优异的成绩。
【知识点汇总推荐】
2019考研数学线性代数部分复习知识点汇总
2019考研数学高数部分常用知识点汇总
2019考研数学概率部分常用知识点汇总
版权声明
本文版权属本网所有,任何媒体、网站或个人未经本网协议授权不得转载、链接、转贴或以其他方式复制发表。已经本站协议授权的媒体、网站,在下载使用时必须注明“稿件来源:文都教育”,违者本站将依法追究责任