柯西中值定理是拉格朗日中值定理的推广,是微分学的基本定理之一。其几何意义为,用参数方程表示的曲线上至少有一点,它的切线平行于两端点所在的弦。该定理可以视作在参数方程下拉格朗日中值定理的表达形式。
柯西中值定理粗略地表明,对于两个端点之间的给定平面弧,至少有一个点,弧的切线通过其端点平行于切线。

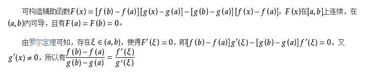
证明过程

以上便是关于柯西中值定理的一些内容,希望能对大家的备考有所帮助。
柯西中值定理是拉格朗日中值定理的推广,是微分学的基本定理之一。其几何意义为,用参数方程表示的曲线上至少有一点,它的切线平行于两端点所在的弦。该定理可以视作在参数方程下拉格朗日中值定理的表达形式。
柯西中值定理粗略地表明,对于两个端点之间的给定平面弧,至少有一个点,弧的切线通过其端点平行于切线。

证明过程

以上便是关于柯西中值定理的一些内容,希望能对大家的备考有所帮助。
版权声明
本文版权属本网所有,任何媒体、网站或个人未经本网协议授权不得转载、链接、转贴或以其他方式复制发表。已经本站协议授权的媒体、网站,在下载使用时必须注明“稿件来源:文都教育”,违者本站将依法追究责任